
Ellen Vandyck
Research Manager
Complex regionaal pijnsyndroom, afgekort CRPS, is een pijnlijke, chronische en invaliderende aandoening waarbij het autonome zenuwstelsel en de neuro-inflammatoire pathways overmatig geactiveerd worden. Het ontstaat meestal na een operatie of na het oplopen van een traumatische gebeurtenis zoals een polsfractuur. CRPS kan worden onderverdeeld in twee typen: CRPS-1 en CRPS-2, waarbij de laatste tekenen van (discrete) zenuwlaesies vertoont. In beide gevallen staan de tekenen en symptomen in geen verhouding tot het onderliggende letsel of de aanleiding.
Er zijn veel revalidatie-interventies voor CRPS voorgesteld, maar hun effectiviteit blijft onduidelijk, omdat bestaande systematische reviews zich ofwel te beperkt hebben gericht op specifieke modaliteiten of geen recente, diepgaande kritische beoordeling en kwantitatieve synthese hebben gegeven van op revalidatie gerichte gerandomiseerde gecontroleerde onderzoeken (RCT's). Shafiee et al. (2023) deze systematische review en meta-analyse uitgevoerd om het huidige bewijsmateriaal over revalidatie-interventies voor CRPS te consolideren en te evalueren, wat een cruciale bron van informatie is voor clinici.
Om deze systematische review en meta-analyse uit te voeren, hebben de onderzoekers grondig literatuuronderzoek gedaan in meerdere databases, waaronder Embase, Medline, CINAHL, Google Scholar, PEDro en PsycINFO, vanaf het begin tot november 2021.
Twee onafhankelijke beoordelaars controleerden titels en samenvattingen om mogelijk relevante manuscripten te identificeren. Vervolgens werd de volledige tekst van deze onderzoeken beoordeeld aan de hand van specifieke geschiktheidscriteria. Eventuele meningsverschillen tussen de beoordelaars werden opgelost door discussie met een derde auteur.
Studies kwamen in aanmerking voor inclusie als het ging om gerandomiseerde gecontroleerde onderzoeken (RCT's) met volwassenen (18 jaar of ouder) die gediagnosticeerd waren met CRPS-1 of CRPS-2 of Shoulder-Hand Syndroom (SHS), als gevolg van trauma of neurologische aandoeningen zoals een beroerte. De interventies in de RCT's mochten elke niet-invasieve interventie zijn, maar ze moesten worden uitgevoerd door een revalidatieprofessional (ergotherapeut, fysiotherapeut of psycholoog). De artikelen moesten de ernst van de pijn en/of functie/handicap uitkomsten meten, gebruikmakend van erkende en geaccepteerde patiënt-gerapporteerde uitkomstmaten.
Studies over farmacologische en chirurgische interventies, studies over CRPS bij kinderen en niet-gerandomiseerde klinische trials of conferentie abstracts werden geëxcludeerd.
Twee onafhankelijke onderzoekers verzamelden gegevens met behulp van een gestandaardiseerd formulier. Dit omvatte details zoals auteur, jaar, type CRPS, aantal deelnemers, gemiddelde leeftijd, interventie- en vergelijkingsgroepen, kenmerken van de interventie (bijv. duur, frequentie), studieresultaten en belangrijkste conclusies. Discrepanties werden opgelost door overleg met een derde auteur.
Er werd een kwalitatieve synthese gebruikt om de bevindingen samen te vatten (bijv. gemiddelde leeftijd, geslacht, aantal deelnemers, details over de interventie en algemene RoB). Voor de meta-analyse werden gestandaardiseerde gemiddelde verschillen (SMD) op basis van Hedges' g berekend als maat voor de effectgrootte als er voldoende numerieke gegevens beschikbaar waren. Deze effectgroottes werden samengevoegd en de heterogeniteit tussen de RCT's werd gerapporteerd met behulp van I-kwadraatwaarden (0-25% laag, 26-50% medium, >50% hoog). Bij hoge heterogeniteit werd een random-effects model gebruikt. Hedges' g benchmarks werden gebruikt om de grootte van de effectgroottes te interpreteren als triviaal (<0,2), klein (0,2), middelgroot (0,5) en groot (>0,8). Er werd een subgroepanalyse op basis van geslacht gepland als er voldoende gegevens beschikbaar waren.
In totaal werden 33 studies geïncludeerd in de systematische review, gepubliceerd tussen 1995 en 2021. Geen enkele studie richtte zich op CRPS-2; acht studies gingen over CRPS na een beroerte, 16 studies gingen over CRPS-1 aan de bovenste ledematen, en negen studies hadden een gemengde etiologie van CRPS aan de bovenste of onderste ledematen.
De volgende revalidatie-interventies voor CRPS werden onderzocht:
Twee studies met een onduidelijk en twee studies met een hoog risico op vertekening werden opgenomen in de meta-analyse. Deze studies evalueerden de effectiviteit van spiegeltherapie in vergelijking met routinematige revalidatie-interventies op pijn en verbetering van de invaliditeit bij in totaal 155 CRPS-1 patiënten na een beroerte en patiënten met een gemengde etiologie.
Gepoolde schattingen (meta-analyse):
De gepoolde schatting van de SMD voor verbetering van pijn en invaliditeit bij het volgen van spiegeltherapie was respectievelijk 1,88 en 1,30, wat duidt op grote effecten. De GRADE-analyse classificeerde het RCT-bewijs aanvankelijk als van hoge kwaliteit, maar het werd eenmaal afgewaardeerd vanwege de steekproefgrootte, eenmaal vanwege inconsistentie en eenmaal vanwege methodologische beperkingen en eenmaal opgewaardeerd vanwege een grote effectgrootte. Het bewijs voor spiegeltherapie werd dus van lage kwaliteit bevonden, wat suggereert dat spiegeltherapie als toevoeging aan conventionele revalidatie-interventies na een beroerte kan resulteren in een grote verbetering van pijn en invaliditeit tot 6 maanden bij CRPS-1 patiënten na een beroerte.
Vier studies met risico op vertekening werden opgenomen in de systematische review, maar slechts 2 werden opgenomen in de meta-analyses. Deze studies onderzochten de effectiviteit van revalidatie-interventies van graded motor imagery op pijnverbetering.
Gepoolde schattingen (meta-analyse):
De gepoolde schatting van de SMD voor verbetering van pijn en functiebeperking na het volgen van een programma met graded motor imagery was respectievelijk 1,36 en 1,64, wat duidt op grote effecten.
De GRADE-analyse rangschikte het RCT-bewijs aanvankelijk als kwalitatief hoogstaand, maar het werd twee keer afgewaardeerd voor de steekproefgrootte, één keer voor inconsistentie en één keer voor methodologische beperkingen en één keer opgewaardeerd voor een grote effectgrootte. Het bewijs voor spiegeltherapie werd dus van lage kwaliteit bevonden, wat suggereert dat spiegeltherapie als toevoeging aan conventionele revalidatie-interventies voor beroerte kan resulteren in een grote verbetering van pijn en invaliditeit tot 6 maanden bij patiënten met chronische CRPS na niet-gecompliceerde polsfracturen en CRPS-1 van de bovenste ledematen.
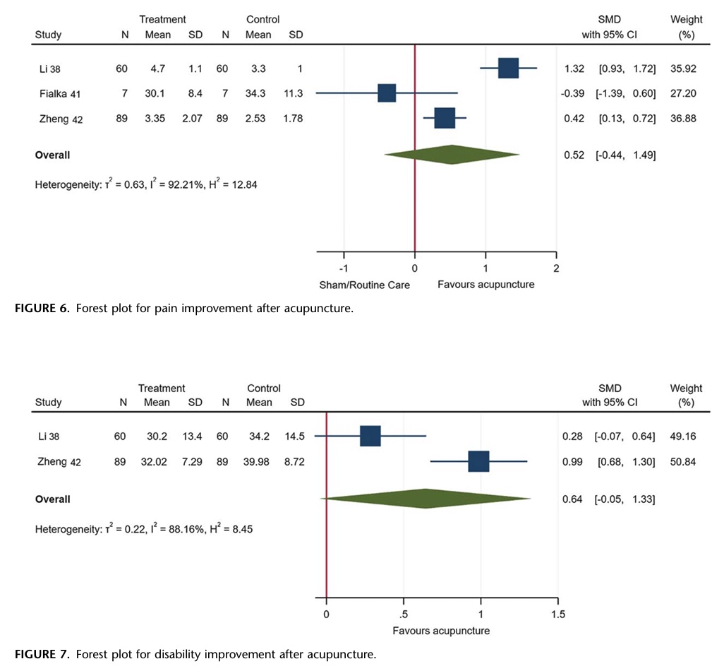
Vier studies, allemaal met een hoog risico op vertekening, evalueerden de effectiviteit van acupunctuur in pijn en verbetering van de invaliditeit bij 354 CRPS-1 patiënten. Drie studies werden opgenomen in de meta-analyse voor het effect op de uitkomstpijn, terwijl 2 studies werden opgenomen in de meta-analyse om het effect op verbetering van de handicap te bestuderen.
Gepoolde schattingen (meta-analyse):
De GRADE-analyse classificeerde het RCT-bewijs aanvankelijk als hoog, maar verlaagde het bewijs eenmaal vanwege methodologische beperkingen, eenmaal vanwege imprecisie en eenmaal vanwege inconsistentie, wat resulteerde in een zeer onzekere effectiviteit van acupunctuur in vergelijking met schijnbehandeling of routinematige revalidatie-interventies op pijn en beperkingen. Verder geven de betrouwbaarheidsintervallen aan dat de effecten 0 overschreden en dus niet significant zijn.
Twee studies, met laag en hoog risico op vertekening, evalueerden de effectiviteit van blootstelling aan pijn bij 102 patiënten met CRPS-1 aan de bovenste en onderste ledematen.
Gepoolde schattingen (meta-analyse):
De GRADE analyse verlaagde het hoge RCT bewijs eenmaal voor steekproefgrootte, eenmaal voor methodologische beperkingen, eenmaal voor imprecisie en eenmaal voor inconsistentie. Dit resulteerde in bewijs van lage kwaliteit dat suggereert dat pijnblootstellingsbehandeling kan resulteren in een grote verbetering in pijn tot 6 maanden follow-up. Wat betreft invaliditeit is het bewijs zeer onzeker over het effect van de pijnblootstellingsbehandeling.
Deze interventie werd onderzocht in 3 RCT's, één met een hoog en twee met een onduidelijk risico op vertekening. Een totale steekproef van 100 deelnemers met CRPS-1 in de bovenste ledematen werd door deze RCT's onderzocht.
Gepoolde schattingen (meta-analyse):
Het hoge RCT bewijs werd eenmaal gedegradeerd voor methodologische beperkingen, eenmaal voor imprecisie en eenmaal voor inconsistentie. Dit resulteerde in een zeer onzeker bewijs over het effect van echografie van het ganglion stellate vergeleken met placebo of TENS op pijn en invaliditeit.
De effectiviteit van fluïdotherapie en Transcutane Elektrische Zenuw Stimulatie (TENS) kon niet worden onderzocht met een meta-analyse vanwege te veel heterogeniteit tussen de studies wat betreft doseringsverschillen. Andere geïncludeerde studies onderzochten de volgende revalidatie-interventies voor CRPS als aanvulling op conventionele fysiotherapie, maar konden niet worden gemeta-analyseerd vanwege onvoldoende gegevens beschikbaar voor pooling:
Omdat de geïncludeerde studies een breed datumbereik hadden, van 1995 tot 2021, werden verschillende diagnostische criteria gebruikt om CRPS te definiëren. De diagnostische criteria voor CRPS zelf zijn in de loop der jaren ook veranderd. In de loop der jaren kwam er steeds meer onderzoek naar CRPS en dit leidde tot veranderende definities en diagnostische criteria. Het is voortgekomen uit een onbekende aandoening die werd waargenomen tijdens de Amerikaanse Burgeroorlog en beschreven werd als causalgie in de 19e eeuw. In de 20e eeuw werd de term reflex sympathische dystrofie gebruikt om soortgelijke gevallen als eerder waargenomen te beschrijven. Aan het eind van de 20e eeuw gaf de International Association for the Study of Pain (IASP) deze aandoening de naam die we nu kennen. Maar omdat de diagnostische criteria voor CRPS, zoals voorgesteld door de IASP, een lage specificiteit hadden, werd in 2010 een nieuwe set criteria, bekend als de Boedapest Criteria, voorgesteld en gevalideerd.
Omdat de diagnostische labels zijn verschoven van reflex sympathische dystrofie, Sudeck atrofie, causalgie, reflex neurovasculaire dystrofie, algodystrofie, of algoneurodystrofie, naar complex regionaal pijnsyndroom (CRPS), leidt dit door de jaren heen tot heterogeniteit tussen studies. Er komt nieuwe informatie en onderzoek beschikbaar, wat leidt tot veranderingen in de manier waarop clinici deze aandoeningen diagnosticeren en behandelen. Hoewel dit gebruikelijk is en deel uitmaakt van evidence-based practice, kan het tot problemen leiden wanneer studies die hetzelfde onderwerp onderzoeken samen worden geanalyseerd, zoals gebeurt in systematische reviews en meta-analyses. Sommige studies zouden patiënten kunnen bevatten die gediagnosticeerd zijn met oudere criteria, terwijl andere een moderner begrip hebben van de pathologie zelf. Dit leidt tot variaties in patiëntkarakteristieken, ernst van de symptomen en mogelijk respons op behandeling. Er zijn manieren om dit probleem te ondervangen, zoals de auteurs hebben geprobeerd om subgroepen van CRPS te analyseren en de I-kwadraat statistiek op te nemen om statistische heterogeniteit te meten. Toch moeten we voorzichtig blijven met de conclusies, vooral die met een hoge heterogeniteit, die door deze systematische review zijn vastgesteld.
Zoals verwacht werd statistische heterogeniteit waargenomen in de meta-analyse van de effectiviteit van spiegeltherapie, graded motor imagery (voor verbetering van de handicap), acupunctuur, pijn-exposure therapie en ultrasone stellate ganglion block (medium heterogeniteit voor verbetering van de handicap, hoge heterogeniteit voor verbetering van de pijn voor de laatste). Dit zal vergelijkingen moeilijk maken, dus is er behoefte aan RCT's die dezelfde criteria en behandelingsprotocollen gebruiken, omdat dit de lage steekproefomvang zal helpen verbeteren en uiteindelijk de mogelijkheid zal helpen vergroten om subgroepanalyses uit te voeren.
De heterogeniteit voor de analyse van de effectiviteit van graded motor imagery op pijnverbetering was laag, omdat in de meta-analyse 2 studies van dezelfde auteurs waren opgenomen, die waarschijnlijk dezelfde definities gebruikten in hun studies. Maar voor verbetering van invaliditeit was de heterogeniteit hoog. Als zodanig zou het beter zijn om de bevindingen over de effectiviteit van graded motor imagery voor pijnverbetering te benadrukken, omdat het de enige revalidatie-interventie voor CRPS I was die een lage heterogeniteit en een grote effectgrootte liet zien (met het 95% betrouwbaarheidsinterval variërend van een gemiddelde tot grote effectgrootte). Toch is het bewijsniveau verlaagd vanwege problemen met de steekproefgrootte en methodologische beperkingen. Als deze problemen in de toekomst kunnen worden aangepakt, neem ik aan dat de zekerheid van het bewijs voor graded motor imagery zal toenemen en dat er nieuwe kennis zal ontstaan om mensen met CRPS I te helpen.
Een zeer belangrijke revalidatie-interventie voor CRPS, maar niet genoemd in deze studie, is patiëntenvoorlichting en communicatie! Hoewel het vaak over het hoofd wordt gezien in reviews en RCT's, zou het het belangrijkste aspect van je aanpak moeten zijn! Je kunt de beste oefeningen geven, waaronder spiegeltherapie en graded motor imagery, zoals wordt ondersteund door de effectiviteitsbevindingen van deze systematische review, maar als je geen tijd neemt om uit te leggen wat er in het lichaam van je patiënt gebeurt en hoe je de symptomen kunt beheersen, zullen ze waarschijnlijk opgeven als ze niet meteen verbeteringen zien. Informeer ze over de lange duur en de hardnekkige, wisselende symptomatologie. Leg uit dat flare-ups niet noodzakelijk betekenen dat ze te veel hebben gedaan; het is eerder een overreactie van hun lichaam. Het laatste wat je zou willen is angst vermijden, waarbij de patiënt verstrikt raakt in een vicieuze cirkel waarbij hij vermijdt om de aangetaste weefsels te belasten.
Nieuw voor mij was de interventie gericht op het ganglion. Een snelle zoektocht bracht me tot het inzicht dat het blokkeren van dit ganglion (met behulp van een zenuwblokkade) kan helpen om de sympathische output te verminderen. Aangezien een zenuwblokkade wordt beschouwd als een chirurgische benadering, werd dit uitgesloten door de geschiktheidscriteria van het huidige artikel. Blijkbaar werden enkele RCT's opgenomen die keken naar de effectiviteit van zogenaamd therapeutisch ultrageluid voor het blokkeren van het ganglion van het stellaatje, wat dan wordt gecategoriseerd als een conservatieve aanpak, omdat er geen naalden worden ingebracht. Dit leverde geen bewijs van effectiviteit op, waarschijnlijk omdat het ganglion van het stellaatkanaal diep in de nek ligt en omdat ultrageluidsgolven waarschijnlijk niet in staat zijn om een structuur op die diepte te beïnvloeden. Bovendien was er in 2001 nog geen bewijs voor therapeutisch gebruik van ultrageluid gevonden in een review.
Een sterk punt van deze review is de systematische beoordeling van de methodologische kwaliteit en het risico op vertekening (RoB) van de geïncludeerde RCT's met behulp van een aangepaste Cochrane-tool. De tool werd gebruikt door twee onafhankelijke beoordelaars om de methodologische kwaliteit en het risico op vertekening van elk manuscript te beoordelen op 9 kritieke domeinen: willekeurige sequentiegeneratie, verborgen toewijzing, blindering van deelnemers aan het onderzoek en personeel, blindering van de uitkomstbeoordeling (zowel zelfgerapporteerd als door de onderzoeker uitgevoerd), volledigheid van de uitkomstgegevens (vertekening door verloop en analysemethode), selectieve rapportage en andere vertekeningen (steekproefgrootte en follow-up duur). Elk domein werd beoordeeld als laag, onduidelijk of hoog en er werd een algemene RoB-beoordeling toegekend.
Bij de beoordeling van het risico op vertekening werden 23 van de 33 onderzoeken beoordeeld als hoog (70%), 8 als onduidelijk en 2 onderzoeken als een laag risico op vertekening. Dit betekent dat een groot deel van het bewijsmateriaal vatbaar is voor vertekening, waardoor de werkelijke effecten van de interventies kunnen worden overschat of onderschat.. Hoewel in het onderzoek werd opgemerkt dat de meeste onderzoeken een laag risico op vertekening hadden in aspecten zoals het genereren van een willekeurige volgorde en het verhullen van de toewijzing, werden deze sterke punten vaak overschaduwd door de beperkingen van kleine steekproefgroottes en korte follow-up periodes. Het is echter belangrijk om te bedenken dat naarmate er meer onderzoek wordt uitgevoerd en gepubliceerd, het aantal studies dat beschikbaar is voor toekomstige systematische reviews en meta-analyses waarschijnlijk zal toenemen. Deze toename in de hoeveelheid bewijs zou moeten leiden tot studies met een grotere steekproefomvang en mogelijk langere follow-up periodes. Als deze beperkingen minder vaak voorkomen in toekomstig onderzoek, zal het algehele risico op vertekening in systematische reviews van CRPS-revalidatie-interventies waarschijnlijk afnemen. Deze evolutie in de kwaliteit en kwantiteit van onderzoek zal uiteindelijk bijdragen aan een robuuster en duidelijker begrip van effectieve behandelingen voor CRPS.
Het gebrek aan bewijs afkomstig van RCT's van CRPS-2 is een kritieke leemte in de literatuur. Daarom kunnen deze conclusies niet vertaald worden naar CRPS-2, waarbij tekenen van zenuwlaesies zichtbaar worden. Verder kon er geen beoordeling van publicatiebias worden uitgevoerd, omdat er te weinig studies werden geïncludeerd per revalidatie-interventie voor CRPS, wat aangeeft dat het beschikbare bewijs een vertekend beeld kan geven. Ook is er slechts beperkt bewijs over hoe veelgebruikte psychologische en op bezigheden gebaseerde interventies effectief kunnen worden toegepast bij CRPS. Dit benadrukt gebieden waar dringend meer onderzoek nodig is en suggereert dat we voor bepaalde patiëntenpopulaties of typen interventies werken met zeer beperkt specifiek bewijs.
In deze systematische review en meta-analyse werd gekeken naar verschillende niet-invasieve behandelingen die fysiotherapeuten en andere revalidatieprofessionals gebruiken bij CRPS. Het doel was om te zien hoe effectief deze behandelingen zijn in het verminderen van pijn en het verbeteren van functie of het verminderen van invaliditeit.
De conclusie van het onderzoek is dat sommige interventies, zoals Spiegel Therapie, Graded Motor Imageryen Pijnblootstellingstherapie, kunnen veelbelovend kunnen zijn in het verbeteren van pijn en invaliditeit bij CRPS-1 patiënten, is het algehele bewijs niet erg sterk of zeker. Bekijk het zo: de beschikbare onderzoeken suggereren dat deze behandelingen zouden kunnen zouden kunnen werken en in sommige gevallen een grote potentiële verbeteringmaar we kunnen nog niet erg zeker zijn van deze bevindingen.
Andere interventies, zoals Acupunctuur, Echografie gericht op het stellaatganglion, Fluïdotherapieen TENShebben nog minder zeker bewijs en de review concludeert dat het "zeer onzeker is over het effect" van deze behandelingen in vergelijking met andere behandelingen of placebo's.
Hoewel er aanwijzingen zijn dat bepaalde revalidatie-interventies bij CRPS heilzaam kunnen zijn, geeft het huidige onderzoek geen definitief "dit werkt zeker" antwoord voor de meeste interventies.
Een potentieel bedreigende beperking:
Een van de grootste rode vlaggen in deze review, en een beperking die de conclusies en geldigheid van de bevindingen ernstig in gevaar brengt, is de de slechte kwaliteit van veel van de oorspronkelijke onderzoeken. Een grote meerderheid van de geïncludeerde onderzoeken had een hoog of onduidelijk risico op vertekeningmaar dit kwam meestal door beperkingen in de steekproefomvang en korte perioden van follow-up. Twee belangrijke aspecten die waarschijnlijk zullen verbeteren als toekomstige onderzoeken beschikbaar komen.
Verbeter je klinische redenering voor het voorschrijven van oefeningen bij de actieve persoon met schouderpijn met Andrew Cuff en navigeer door de klinische diagnose en behandling met een casestudie van een golfer door Thomas Mitchell