Исследование Упражнение 24 марта 2026 г.
Ren et al., (2024)

Соблюдение рекомендаций по выполнению укрепляющих упражнений

Соблюдение рекомендаций по укрепляющим упражнениям

Введение

Мы знаем, что в целом соблюдение рекомендаций Всемирной организации здравоохранения (ВОЗ) по физической активности является низким. Для получения существенной пользы для здоровья взрослым рекомендуется выполнять не менее 150-300 минут аэробной физической активности умеренной интенсивности, не менее 75-150 минут аэробной физической активности энергичной интенсивности или эквивалентное сочетание активности умеренной и энергичной интенсивности в течение недели. Наряду с аэробной физической активностью взрослым следует также выполнять упражнения на укрепление мышц с умеренной или большей интенсивностью, вовлекающие все основные группы мышц, 2 или более дней в неделю, поскольку они обеспечивают дополнительную пользу для здоровья. Обе рекомендации получили настоятельную рекомендацию, подкрепленную доказательствами умеренной степени достоверности. 

Недавний отчет, проведенный в США, показал, что, например, только 24,2 % взрослых соответствуют как аэробным, так и мышечно-укрепляющим рекомендациям, а почти половина взрослых не выполняет ни одной из них. Около 47% выполнили рекомендации по аэробной физической активности, и только 31% - по укреплению мышц. 

elgaddal2022
От: Elgaddal, N., Kramarow, E. A., & Reuben, C. A. (2022). Физическая активность среди взрослых в возрасте 18 лет и старше: Соединенные Штаты, 2020. https://doi.org/10.15620/cdc:120213

 

Поскольку из предыдущего обзора исследований мы знаем, что несоблюдение рекомендаций ВОЗ приводит к увеличению риска развития рака на 5 %, а совместное несоблюдение рекомендаций по окружности талии и физической активности повышает риск развития рака на 15 %, необходимость понимания причин, по которым взрослые не соблюдают рекомендации, имеет большое значение. В настоящем исследовании обобщены данные о распространенности рака в мире и изучено, кто и почему выполняет рекомендации. 

 

Методы

Это был систематический обзор и мета-анализ, проведенный в соответствии с рекомендациями PRISMA и зарегистрированный в проспективном порядке. Данный систематический обзор и мета-анализ преследовал две основные цели: (1) оценить глобальную распространенность взрослых, придерживающихся рекомендаций по выполнению упражнений для укрепления мышц (по крайней мере, два раза/день в неделю), и (2) обобщить данные о коррелятах приверженности этим рекомендациям

Поиск в пяти электронных базах данных проводился с момента их создания до марта 2022 года. Исследования включали здоровых взрослых (средний возраст 18 лет и старше) и должны были быть обсервационными по дизайну исследования. 

Что касается первой цели, то сообщалось о распространенности соблюдения рекомендаций по выполнению упражнений для укрепления мышц. Вторая цель заключалась в поиске факторов, влияющих на соблюдение рекомендаций по выполнению упражнений на укрепление мышц. Исследования с нездоровыми участниками (например, с диагностированными проблемами физического или психического здоровья), интервенционные исследования, систематические обзоры/мета-анализы, тематические исследования и исследования, не опубликованные на английском языке, были исключены.

 

Результаты

В систематический обзор и мета-анализ вошли 30 обсервационных исследований, в которых приняли участие 2 629 508 человек. Из них 21 исследование было использовано для мета-анализа (цель 1) и 12 - для систематического обзора коррелятов (цель 2).

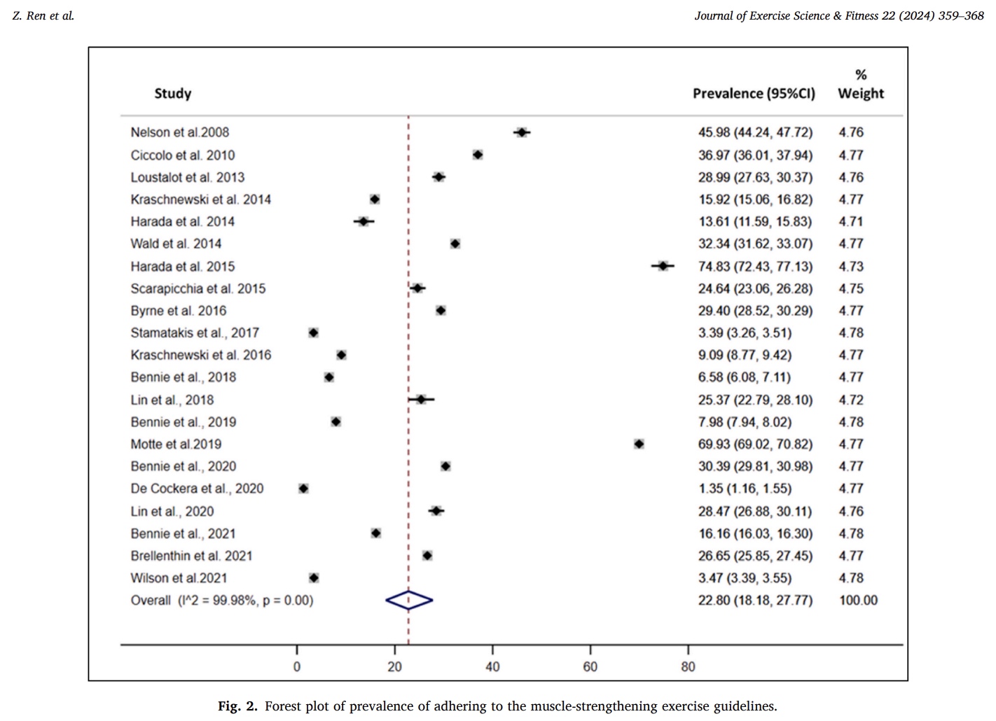
По результатам 21 исследования, включенного в мета-анализ для достижения цели 1 (n = 2 412 407 участников), совокупная распространенность взрослых, выполняющих рекомендации по физическим упражнениям для укрепления мышц (≥2 занятий в неделю), составила 22,8% (95% ДИ: 18.18-27.77). Оценки отдельных исследований широко варьировались от 1,3% до 76,2%, что указывает на значительную вариабельность в разных популяциях.

Соблюдение рекомендаций по укрепляющим упражнениям
Из: Ren et al., J Exerc Sci Fit. (2024)

 

Анализ подгрупп показал, что метод измерения упражнений на укрепление мышц существенно влияет на распространенность. Исследования, в которых использовался еженедельный отзыв, показали более высокую приверженность (29,53%) по сравнению с исследованиями, в которых использовался ежемесячный отзыв (11,43%). Не было обнаружено значительных различий между регионами, качеством исследований и периодами публикации.

Что касается второй цели, Двенадцать исследований (n = 501 847 участников) были включены в анализ корреляций, выявив 23 потенциальных фактора в пяти областях: социально-демографической, физической, поведенческой, когнитивной и экологической.

Последовательные корреляты (умеренные и сильные доказательства)

Восемь факторов были последовательно связаны с соблюдением рекомендаций по укрепляющим упражнениям:

  • Мужской пол
  • Молодой возраст
  • Высшее образование
  • Более высокий социально-экономический статус
  • Улучшение самооценки здоровья
  • Более здоровый индекс массы тела
  • Географический регион
  • Статус занятости
Соблюдение рекомендаций по укрепляющим упражнениям
Из: Ren et al., J Exerc Sci Fit. (2024)

 

Взрослые мужчины, более молодые, более образованные и с более высоким социально-экономическим статусом с большей вероятностью выполняли рекомендации по физическим упражнениям для укрепления мышц. И наоборот, люди с избыточным весом или ожирением с меньшей вероятностью придерживались этих рекомендаций.

Сила ассоциаций

По всем последовательным коррелятам величины эффектов в целом были от слабых до умеренных, лишь изредка отмечались слабые или сильные ассоциации

Соблюдение рекомендаций по укрепляющим упражнениям
Из: Ren et al., J Exerc Sci Fit. (2024)

 

Ограниченные корреляции (неубедительные или слабые доказательства)

Несколько факторов показали ограниченные или противоречивые ассоциации:

  • Проживание в городских районах (положительная ассоциация)
  • Статус некурящего (положительная ассоциация)
  • Выполнение рекомендаций по аэробной физической активности (положительная ассоциация)
  • Раса/этническая принадлежность, семейное положение и условия жизни (неопределенное направление)

Корреляты одного исследования (слабые доказательства)

Такие факторы, как употребление алкоголя, академическая успеваемость, хронические заболевания и профессиональные физические нагрузки, были изучены только в одном исследовании, что не позволяет сделать твердые выводы.

 

Вопросы и мысли

Наиболее сильные последовательные корреляты, выявленные в данном систематическом обзоре, - это социально-демографические факторы (пол, возраст, образование, социально-экономический статус). Хотя они могут помочь выявить "уязвимые группы населения" (например, пожилые люди, женщины, низкий уровень образования/СЭС), мы не можем изменить эти факторы с помощью наших физиотерапевтических вмешательств. 

С другой стороны, другие физические факторы, такие как индекс массы тела (ИМТ), - это то, что мы можем устранить или, по крайней мере, обсудить. Польза двойная: занятия физическими упражнениями на укрепление мышц помогут контролировать индекс массы тела, а при улучшении индекса массы тела повышаются шансы на соблюдение рекомендаций по укрепляющим упражнениям. То же самое можно сказать и о самооценке здоровья: если кто-то начнет заниматься укрепляющими упражнениями, это улучшит общее состояние здоровья и, возможно, ощущение благополучия. Соблюдение рекомендаций по аэробной физической активности показало положительную связь, хотя и подкрепленную ограниченными доказательствами. В связи с этим лучше всего пропагандировать комбинированный подход к физической активности и укрепляющим упражнениям, а не разделять их, так как участие в одном может способствовать участию в другом.

Поскольку взрослые с избыточным весом или ожирением с меньшей вероятностью будут придерживаться рекомендаций по укрепляющим упражнениям, это выделяет ключевую целевую группу. Дальнейшие исследования конкретных барьеров на пути к вовлечению или соблюдению рекомендаций по укрепляющим упражнениям (например, воспринимаемые усилия, боль в суставах, отсутствие уверенности) могут помочь нам преодолеть общие трудности. 

Во всех включенных исследованиях использовались самоотчеты о приверженности к упражнениям на укрепление мышц, при этом наблюдались значительные различия в том, как они определялись. Существенным результатом стало то, что распространенность была выше при еженедельной оценке (29,53%) по сравнению с ежемесячной (11,43%), что говорит о том, что сам период измерения существенно влияет на сообщаемый уровень приверженности, возможно, из-за погрешности памяти. Эта вариативность является основным фактором, влияющим на точность и последовательность ответов. Поэтому на практике лучше всего использовать еженедельные отчеты о приверженности. 

 

Поговори со мной о ботанике

Статистика I² показала, что гетерогенность была чрезвычайно высокой (I² = 99.98%), что свидетельствует о значительных различиях в исследуемых популяциях, методах измерения и условиях. Это означает, что оценка распространенности в 22,8% не может быть глобально репрезентативной, что противоречит цели данного исследования. 

Также была выявлена предвзятость к публикациям с большой асимметрией на графике Дои (индекс LFK = 6,42), что указывает на потенциальное искажение объединенных оценок. Значительный риск предвзятости публикаций может означать, что исследования, сообщающие о более высоких показателях распространенности или более сильных ассоциациях, чаще публикуются, что может привести к завышению совокупных оценок и сильных корреляций.

Соблюдение рекомендаций по укрепляющим упражнениям
Из: Ren et al., J Exerc Sci Fit. (2024)

 

Кроме того, корреляты были синтезированы в повествовательной форме из-за неоднородности, что означает, что факторы не могут быть обобщены до размера объединенного эффекта. Таким образом, это просто качественный синтез, а не количественное объединение. 

Наконец, почти все включенные исследования были перекрестными, поэтому мы должны помнить, что ассоциации не подразумевают причинно-следственных связей. Также вероятна обратная причинно-следственная связь, например, приводит ли улучшение здоровья к соблюдению рекомендаций по усилению физических упражнений или наоборот?

 

Напутствия на будущее

Менее четверти взрослых во всем мире - всего 22,8 % - выполняют рекомендации по физическим упражнениям для укрепления мышц (MSE), которые необходимо выполнять не менее двух раз в неделю. Этот низкий показатель имеет серьезные последствия для общественного здравоохранения.

Взрослые, которые с наибольшей вероятностью будут придерживаться рекомендаций по укрепляющим упражнениям:

  • Мужчины
  • Молодые взрослые
  • Люди с высшим образованием и лучшим социально-экономическим статусом
  • Те, кто лучше оценивает свое здоровье и имеет нормальный индекс массы тела

Основные выводы

  1. Целевые уязвимые группы населения: Определите пожилых пациентов, женщин и тех, кто имеет более низкий социально-экономический статус или более низкую самооценку здоровья, как подверженных наибольшему риску несоблюдения предписаний по укреплению. Этим группам стоит уделить особое внимание развитию навыков и уверенности в себе при выполнении упражнений на укрепление мышц.
  2. Мышечно-укрепляющие упражнения и аэробная активность связаны между собой: Люди, которые придерживаются аэробных физической активности, также с большей вероятностью будут придерживаться рекомендаций по выполнению упражнений на укрепление мышц. Пропагандируйте комбинированный подход к физической активности, а не разделение этих двух подходов, поскольку участие в одном из них может способствовать участию в другом.
  3. Измерения имеют значение: Расспрашивая пациентов об их привычках к физическим упражнениям, помните, что просьба вспомнить их за более длительный период (например, за месяц) может значительно занизить их приверженность к занятиям по сравнению с вопросом о прошедшей неделе, вероятно, из-за погрешности памяти. Используйте еженедельные отзывы для получения наиболее точной картины вовлеченности пациента

Наиболее угрожающим ограничением для общих выводов и достоверности данного исследования является значительный риск предвзятости публикаций и чрезвычайно высокая неоднородность данных, использованных для расчета 22,8 % распространенности. Это позволяет предположить, что представленная глобальная цифра может быть завышена из-за предвзятости отбора в опубликованной литературе или просто не обобщается из-за огромных различий между включенными исследованиями.

 

Ссылка

Ren Z, Zhang Y, Drenowatz C, Eather N, Hong J, Wang L, Yan J, Chen S. How many adults have sufficient muscle-strthening exercise and the associated factors: Систематический обзор, включающий 2 629 508 участников. J Exerc Sci Fit. 2024 Oct;22(4):359-368. doi: 10.1016/j.jesf.2024.06.002. Epub 2024 Jun 15. PMID: 39040428; PMCID: PMC11261455.

ВНИМАНИЕ ТЕРАПЕВТОВ, КОТОРЫЕ РЕГУЛЯРНО ЗАНИМАЮТСЯ ЛЕЧЕНИЕМ ПАЦИЕНТОВ С ПОСТОЯННОЙ БОЛЬЮ

Как питание может стать решающим фактором для центральной сенсибилизации - видеолекция

Посмотри БЕСПЛАТНУЮ видеолекцию о питании и центральной сенсибилизации от европейского исследователя хронической боли №1 Джо Нийса. То, каких продуктов питания пациентам следует избегать, наверняка удивит тебя!

 

Диета CS