Nagy terhelésű gyakorlat az ínok számára: Újszerű megközelítés a biomechanikai íntulajdonságok alapján
Bemutatkozás
Ez a cikk a múlt heti publikációt követi. Míg az előző cikk az ínadaptáció biológiai és mechanikai alapjait vizsgálta, a jelen cikk a klinikai következmények felé tolja el a hangsúlyt. Konkrétan egy olyan kontrollált klinikai vizsgálatot mutat be, amely az alábbiakat vizsgálja a nagy terhelésű edzés az ínöknek readaptáció vizsgálatát.
Az előző cikk kulcsfontosságú fogalmainak rövid felidézése érdekében az inak nem inaktív struktúrák; inkább biológiailag aktív szövetek, amelyekben összetett mechanikai és sejtes mechanizmusok kölcsönhatásban támogatják a regenerációt. Az ínadaptációban részt vevő kulcsfontosságú szabályozók közé tartoznak a transzkripciós faktorok Scleraxis (Scx) és Mohawk (Mkx), amelyek döntő szerepet játszanak az I. típusú kollagén szintézisében (fibrillogenezis), illetve az ín érésében. Ezeknek a transzkripciós faktoroknak az aktiválása azonban terhelésfüggő.
Az ínsérüléssel összefüggésben a megváltozott mechanikai tulajdonságok megakadályozhatják a megfelelő terhelés átadását a szövet degeneratív részének. Ez a jelenség, az úgynevezett stressz leárnyékolásaazért következik be, mert az ín egészségesebb, merevebb területei aránytalanul nagy terhelést vesznek fel, míg a rugalmasabb, degeneratív területek viszonylag terheletlenek maradnak. Ennek eredményeként a sérült rész elégtelen mechanikai stimulációja hozzájárul a hegképződéshez és az extracelluláris mátrix dezorganizációjához.
A felmerülő bizonyítékok azt sugallják, hogy a gondosan megtervezett edzésprotokollok - különösen azok, amelyek kihasználják az ínszövet viszkoelasztikus tulajdonságait - segíthetnek leküzdeni ezt a stresszárnyékoló hatást. A terhelés alkalmazásának optimalizálásával lehetséges lehet a degeneratív régió stimulálása, ezáltal elősegítve a mátrix újjászerveződését és a funkcionális felépülést.
Módszerek
Ez a vizsgálat egy 12 hetes intervenciós programot magában foglaló, egy vak, értékelővel elvakított, kontrollált vizsgálat volt. A terv egy háromkarú, párhuzamos csoportos vizsgálatból állt, amelyben a résztvevők a három intervenciós csoport egyikébe kerültek.
Az előszűréset egészségügyi szakemberek végezték, és átfogó klinikai értékelést és hivatalos diagnózist tartalmazott. A beavatkozás utáni értékelés mellett a program befejezése után hat hónappal online utóértékelést is végeztek.
Befogadási kritériumok
- Férfi résztvevők
- 20-55 év közöttiek
- 3 hónapnál hosszabb ideig tartó krónikus Achilles tendinopathia
Diagnózis megerősítve:
- Ultrahang (legalább diszkrét hipoechogén területeket mutat az ínben)
- Orvos által végzett klinikai értékelés
- VISA-A pontszám < 80, ami legalább mérsékelt tüneti súlyosságot jelez.
Ha a tünetek kétoldaliak voltak, a súlyosabb lábat (alacsonyabb VISA-A pontszám és nagyobb fájdalom) választották ki.
Kizárási kritériumok
- Kortikoszteroid injekció az Achilles-ínba az elmúlt 12 hónapban.
- Antibiotikum-használat (pl. fluorokinolonok, mint a ciprofloxacin, levofloxacin) az elmúlt 12 hónapban.
- Korábbi lábműtét.
- Ín szakadás vagy részleges szakadás jelei.
- Szisztémás gyulladásos betegségek (pl. reumatoid artritisz, cukorbetegség).
- Spondylitis (pl. Bechterew-kór).
Kiosztás és elvakítás
Negyvennyolc alkalmas résztvevőt vettek fel, és a csoportbeosztás előtt elvégezték az összes kiindulási (PRE T1-T3) értékelést. Az allokációs sorrendet egy kutató (G.R.) hozta létre és tartotta bizalmasan, és rejtve maradt a beiratkozásban, értékelésben, felügyeletben és adatelemzésben részt vevő összes többi személy előtt. Az értékelőt csak az alapmérések befejezése után tájékoztatták a résztvevő csoportbeosztásáról. Minden értékelés standardizált volt, a vizsgálati hipotéziseket nem hozták nyilvánosságra, és az adatokat anonim módon gyűjtötték és elemezték, az allokációs információk nélkül, biztosítva a vakvágást az adatfeldolgozás és elemzés során.

Beavatkozás
A beavatkozási időszak alatt az 1., 2., 4., 8. és 11. héten telefonon és/vagy e-mailben nyomon követést és felügyeletet végeztek a protokoll betartásának biztosítása érdekében. A résztvevők edzésnaplót kaptak az edzés gyakoriságának, a terhelésnek és a terhelés progressziójának dokumentálására. A napi fájdalomszinteket egy numerikus értékelő skála (NRS) segítségével rögzítették. A gyógytorna ülések gyakoriságát és tartalmát is dokumentálták. Ezenkívül a testmozgás általános szintjét a napló segítségével követték nyomon.
A résztvevők fenntarthatták szokásos fizikai edzésprogramjukat, egy korlátozással: a fájdalomnak 3/10 alatt kellett maradnia az NRS-en az edzés alatt és 24 órán keresztül. A beavatkozási időszak alatt nem volt megengedett további, kifejezetten a talpi hajlítóizmot célzó erőnléti edzés.
Passzív terápiás csoport:
A passzív terápiás csoport résztvevői 12 üléses passzív kezelésben részesültek. A beavatkozási időszak alatt nem végeztek talpflexióval vagy aktív erősítéssel járó gyakorlatokat.
Alfredson csoport:
Az előírt beavatkozás excentrikus sarokemelési protokollt követett, amelyet egyoldalúan egy lépcsőn végeztek, 3 másodperces excentrikus fázissal.
A résztvevők naponta két foglalkozást végeztek. Minden egyes foglalkozás a következőkből állt:
- 3 sorozat 15 ismétlésből álló sorozat kinyújtott térddel
- Ezt követi 3 sorozat 15 ismétlésből álló sorozat hajlított térddel.
- A sorozatok között 1 perces nyugalmi időszakot figyeltek meg.
A külső terhelés progressziója opcionális volt, és heti 5 kg-os lépésekből állt, amennyiben tolerálható volt.
Nagy terhelésű csoport:
A résztvevők a nagy terhelésű gyakorlatok az ínok számára csoport tagjai egyénre szabott, visszajelzéssel ellátott hevederes eszközt kaptak az otthoni edzéshez.
A gyakorlat beállításához a résztvevőket arra utasították, hogy a padlón üljenek, térdüket nyújtsák ki, és a lábfejüket helyezzék egy lábtányérra a pozícióban. Az eszközt úgy állították be, hogy a boka 90°-os hajlításánál maximális izometrikus összehúzódást tegyen lehetővé.
Bemelegítésként a résztvevők 3 sorozat 3 másodperces izometrikus összehúzódást hajtottak végre, amelyet 1 perc nyugalmi követett.
Az edzésterhelés meghatározásához öt maximális akaratlagos összehúzódást (MVC) rögzítettünk. Az előírt edzésintenzitást az öt MVC átlagértékének 90%-ában határoztuk meg.
A fő edzésprotokoll a következőkből állt:
- 3 másodperces izometrikus összehúzódások 90%-os MVC mellett
- 3 másodperc nyugalmi idő az ismétlések között
- Öt sorozat négy ismétlésből
- 1 perc nyugalmi idő a sorozatok között
Az edzést heti négyszer végeztük 12 héten keresztül. A terhelés progresszióját az egyéni edzésterhelés 5%-ában határozták meg hetente.
Mind az Alfredson-csoport, mind a nagy terhelésű csoport esetében a beavatkozás első két hetében nem engedélyezték a terhelés progresszióját. Ezt követően csak akkor engedélyezték a progressziót, ha az edzés közbeni fájdalom a numerikus értékelő skálán 6/10 alatt maradt, és az egyéni észlelt terhelés (RPE) 3/10 alatt volt.
A terhelés csökkentése javasolt, ha a fájdalom meghaladta az 5/10-es értéket, vagy ha az RPE nagyobb volt, mint 5/10. Ha a külső terhelés csökkentése nem volt kivitelezhető, az ismétlések számát, a sorozatokat vagy az edzés gyakoriságát ennek megfelelően módosítottuk.
A lemorzsolódási arány elérte a 8,33%-ot, és a résztvevőket a következőképpen osztották újra: Passzív terápiás csoport (n=14), Alfredson-csoport (n=15) és nagy terhelésű csoport (n=15).

Elsődleges eredmények
Mechanikai és anyagi tulajdonságok
Merevség, a keresztmetszeti területet (CSA) és a Young-modult dinamometriával, elektromiográfiával (EMG), ultrahangvizsgálattal és MRI-vel értékelték.
Az ín merevségének mérése
Az ínmerevséget izokinetikus dinamométerrel vizsgáltuk, a résztvevők ültek, a boka semleges pozícióban (90°), a térd kinyújtva, a csípő hajlítva (~110°) és a medence stabilizálva volt. A szubmaximális talphajlító kontrakciókból és 1-3 maximális akaratlagos kontrakcióból (MVC) álló standardizált bemelegítést követően a résztvevők a mérés megbízhatóságának biztosítása érdekében öt 5 másodperces ramped MVC-t végeztek 2 perces nyugalmi intervallumokkal, majd 2-3 további izometrikus talphajlító MVC-t hasonló nyugalmi idővel és standardizált szóbeli bátorítással. Az ín merevségét az ínerő és az ínnyúlás arányaként számították ki. Az Achilles-ín erejét úgy becsültük meg, hogy a plantáris hajlítási nyomatékot elosztottuk az ínkarral (megjegyzés: a szerzők figyelembe vették az antagonista terhelési nyomaték szerepét az Achilles-ín erejének kiszámításakor), amelyet az ín kitérés módszerével határoztunk meg, a medialis Gastrocnemius myotendinus csomópont B-módú ultrahanggal mért elmozdulásának a bokaízület szögkilengéséhez való viszonyításával. A kar hosszának változásait az összehúzódás során korrekciós tényezővel vettük figyelembe a számításokban.
Az Achilles-ín merevségét az ínerő és az ínnyúlás közötti kapcsolat meredekségeként számították ki, a maximális ínerő 50%-a és 100%-a között gyűjtött adatok felhasználásával.
A Young-modulus, egy anyag saját merevségének mérőszáma., az Achilles-ín merevségét úgy számították ki, hogy az ín merevségét megszorozták az ín nyugalmi hosszának és az ín keresztmetszeti területének arányával.
Klinikai eredmények
A klinikai súlyosságot a validált VISA-A pontszámmal, mint a betegek által jelentett kimeneti mérőszámmal (PROM) értékelték, amelyet a kiindulási időpontban (PRE, személyesen), a beavatkozás után (POST, személyesen) és a nyomon követéskor (online) értékeltek. Klinikai szempontból jelentősnek a 15 pontos minimális klinikailag fontos különbséget (MCID) tekintették. A fájdalmat ezenfelül a betegnaplóban naponta rögzített numerikus értékelési skála (NRS, 0-10) segítségével követték nyomon. A kiindulási fájdalomértékeket a kezdeti értékelést követő első 14 nap átlagaként számították ki, míg a beavatkozás utáni értékeket a beavatkozási időszak utolsó 14 napjának átlagából származtatták.
Másodlagos eredmények
Funkcionális tulajdonságok
A funkcionális tulajdonságokat ellenmozgásos ugrás (CMJ) és ejtőugrás (DJ) segítségével vizsgálták. Egy standardizált, legfeljebb 12 alacsony vagy közepes intenzitású ugrásból álló bemelegítés után a résztvevők öt maximális CMJ és öt ejtőugrás DJ ugrással, mezítláb, csípőre tett kézzel és a kísérletek között 1 perces nyugalmi idővel végeztek. Az ejtőugrásokat egy 15 cm-es dobozból hajtották végre. A talajreakciós erőket az ugrásmagasság meghatározásához rögzítettük, a CMJ esetében az impulzus-momentum módszerrel, a DJ esetében pedig a repülési idő módszerrel számítva. Az elemzéshez mindkét ugrástípus esetében az öt próbálkozásból a három legmagasabb ugrás átlagát használták.
Érrendszeri vascularity
Az intratendinosus érrendszeri állapotot Doppler-ultrahangvizsgálattal értékelték. A felvételeket a proximális sarokcsont és az Achilles-ín vizualizálására végezték. Az utólagos képelemzés lehetővé tette az érrendszeri számszerűsítését a színes Doppler-pixelek mm²-ben kifejezett területméréssé történő átalakításával.

Eredmények
Elsődleges eredmények
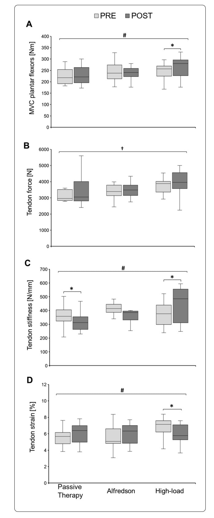
A kiinduláskor a plantáris hajlítóerő, az ínerő, az ín merevsége, a maximális ínhúzódás, a Young-modulus és az ín nyugalmi hossza nem különbözött szignifikánsan a három csoport között.

A PRE és a POST között az MVC mérések esetében szignifikáns idő-csoportonkénti interakció volt, szignifikáns javulást csak az nagy terhelésű íngyakorlatok csoportjában csoportban.
Az ín-adatai a PRE és a POST közötti idő szignifikáns fő hatását mutatták, ami az ín-erő általános növekedését jelzi. Nem volt megfigyelhető szignifikáns idő-csoportonkénti kölcsönhatás. A csoportok között az ínő nőtt.
Az ín merevsége tekintetében nem volt megfigyelhető általános változás az idő múlásával. A változások azonban csoportonként eltérőek voltak: a merevség nőtt a nagy terhelésű íngyakorlatok csoportban, csökkent a passzív terápiás csoportban, és stabil maradt az Alfredson-csoportban.
A maximális ínhúzódás nem mutatott általános változást az idő múlásával. A csoportspecifikus válaszok azonban különböztek: a nagy terhelésű csoportban csökkent a törzs, míg az Alfredson- vagy a passzív terápiás csoportban nem volt megfigyelhető jelentős változás.
A stresszben nem észleltek jelentős változásokat az idő múlásával vagy a csoportok között.

A Young-modulus nem mutatott egyértelmű általános változást. Bár megfigyelhető volt a csoportspecifikus variabilitás, egyik csoportban sem mutattak ki szignifikáns különbségeket a pre-to-post értékek között.
Ín nyugalmi hossza nem változott az idő múlásával, és nem mutatott jelentős különbségeket a csoportok között.
Morfológiai tulajdonságok
Az Achilles-ín átlagos keresztmetszeti területe (CSA) nem különbözött a csoportok között a kiinduláskor. Idővel a CSA változása beavatkozásonként változott: a High-Load csoportban az ín teljes hosszában ínhipertrófia volt megfigyelhető, míg a passzív terápia vagy az Alfredson csoportban nem történt jelentős CSA-változás.
VISA-A pontszámok
A kiindulási VISA-A pontszámok összehasonlíthatóak voltak a csoportok között. Minden csoportban klinikailag jelentős javulást mutattak ki a VISA-A pontszámokban a beavatkozás előtti és utáni időszak között, és a javulás a nyomon követés során is fennmaradt. A csoportok között javulást figyeltek meg, és nem mutattak ki jelentős különbségeket a változás mértékében a csoportok között. A VISA-A pontszámok stabilak maradtak a beavatkozás utáni és a nyomon követési időszak között.

Fájdalom
A kiindulási fájdalomértékek összehasonlíthatóak voltak a csoportok között. A fájdalom idővel mindhárom csoportban csökkent, ami a jelentett tünetek jelentős csökkenését mutatja. A fájdalomcsökkenés mértékében nem figyeltek meg szignifikáns különbségeket a csoportok között.

Másodlagos eredmények
Ugrás teljesítmény
A kiindulási teljesítmény összehasonlítható volt a csoportok között mind az ellenmozgásos ugrások (CMJ), mind az ejtőugrások (DJ) esetében. A CMJ magassága az idő múlásával összességében kis mértékű csökkenést mutatott, míg az ejtőernyős ugrások magasságában nem észleltek jelentős változásokat.
Érrendszeri vascularity
A sérült Achilles-ín intratendinus érrendszeri képessége összehasonlítható volt a csoportok között a kiindulási szinten, és nem mutatott jelentős változásokat az idő múlásával.

Edzésnapló elemzések
Megfelelés
A beavatkozásokhoz való általános ragaszkodás minden csoportban magas volt, és nem volt közöttük jelentős különbség. A passzív terápiás üléseken való további részvétel változó volt, de mérsékelt maradt. A beavatkozásokkal kapcsolatos nemkívánatos eseményeket nem jelentettek.
Tevékenységi szint
Az önbevallás szerinti aktivitási szintek stabilak maradtak a beavatkozás teljes időtartama alatt, és nem voltak jelentős különbségek a csoportok között vagy az idő múlásával bekövetkező változások.
Progresszió
Mindkét edzéscsoport fokozatosan növelte az edzésterhelést a beavatkozás során, de a progresszió mértéke hasonló volt a csoportok között.
Passzív terápiás kezelés
Gyógytornászok számos, az alsó végtagokat nem terhelő beavatkozást alkalmaztak az egyes betegekhez igazodva, beleértve a manuális terápiát, a törzs stabilitási gyakorlatait, a masszázs- és lágyrészi technikákat, valamint az elektro- vagy hőterápiás eljárásokat. A kezelési stratégiák a résztvevők között eltérőek voltak, de közös fizioterápiás megközelítéseket követtek.
Kérdések és gondolatok
A fájdalom eredménye nem különbözött a csoportok között, ami tovább kérdőjelezi a strukturális ínjavulás és a tünetek enyhülése közötti kapcsolatot. Bár a nagy terhelésű edzés az ínok számára protokoll megnövelte az ín merevségét, az erőtermelést és ínhipertrófiát idézett elő, ezek a strukturális adaptációk nem jártak együtt a fájdalom jelentős csökkenésével a nagy terhelésű csoportban. Mindazonáltal a nagy terhelésű edzésnek az ín mechanikai tulajdonságait javító képessége potenciális értéket sugall a sérülések prevenciója szempontjából, összhangban azokkal a bizonyítékokkal, amelyek azt mutatják. csökkent íngyulladás előfordulási gyakoriság a magasabb terhelési stratégiáknak kitett serdülő kézilabdázó sportolói populációkban.
Mechanobiológiai szempontból a megfigyelt korlátozott strukturális adaptáció a nem megfelelő terhelési időtartamhoz kapcsolódhat. A három másodperces izometrikus tartások, amelyeket ebben a vizsgálatban alkalmaztak. nagy terhelésű ín-gyakorlatban protokoll nem generált megfelelő stresszrelaxációt és kúszást ahhoz, hogy a degeneratív ínrégiókat hatékonyan terhelje a stressz-árnyékoló modell. A csoportok között nem észleltünk különbséget az érrendszeri vagy a szövetminőség tekintetében, ami alátámasztja azt az elképzelést, hogy a mechanikai ingerek a mátrix mérhető átalakulásához szükséges küszöbérték alatt voltak. Kísérleti bizonyítékok egy állatkísérletből és egy humán holttest vizsgálatból azt mutatták, hogy a hosszabb ideig - körülbelül 30 másodpercig - tartó izometrikus terhelés szükséges a patella-ínben a mechanikai húzódás és a mechanotranszdukciós útvonalak aktiválásához. Tekintettel arra, hogy az ínfeszültség jelentősen csökken ebben az időkeretben, a rövidebb tartások nem képesek elegendő mechanikai ingert közvetíteni a degeneratív mátrix felé. Ez magyarázhatja a jelen vizsgálatban megfigyelt csökkent strukturális adaptációt a hosszan tartó izometrikus terhelést alkalmazó protokollokhoz képest.
Beszélj hozzám szakértőként
A vizsgálatban mind a beékelődő, mind a középen elhelyezkedő Achilles tendinopathia szerepelt, ami heterogenitást eredményezhetett a betegek reakcióiban, és potenciálisan befolyásolhatta az eredményeket. Amint azt a múlt heti cikkben tárgyaltuk, az inak mechanikai tulajdonságai nem azonosak, mivel ezek attól függnek, hogy milyen típusú terhelésnek vannak krónikusan kitéve. A nagyobb nyomóterhelésnek kitett ínok hajlamosabbak a fibrokartilaginás jellemzők kialakulására. Ezért a kutatás nagy terhelésű ín-gyakorlatok protokoll számára hasznos lehetett volna a résztvevők részletesebb fenotípusos osztályozása.
Bár a kutatók megkísérelték a csoportjellemzők standardizálását a kiinduláskor (pl. életkor, magasság, testsúly, aktivitási szint), az ilyen változók elégtelenek lehetnek a betegek közötti klinikailag jelentős különbségek megfelelő megragadásához. Ezek a megfontolások fontos kérdéseket vetnek fel az Achilles tendinopathiában szenvedő egyének fenotípusos megjelenésével és osztályozásával kapcsolatban.
Jól ismert, hogy ebben a populációban a képalkotó leletek rosszul korrelálnak a fájdalom intenzitásával és a funkcionális korlátozásokkal. Következésképpen a tisztán patoanatómiai osztályozás nem tűnik elegendőnek. Átfogóbb osztályozási rendszerekre van szükség, amelyek figyelembe veszik az Achilles tendinopathia multifaktoriális jellegét. A jövőbeni kutatásoknak arra kell törekedniük, hogy azonosítsák a fájdalomhoz és a funkcionális károsodáshoz hozzájáruló biológiai, pszichológiai és szociális tényezőket. E dimenziók mélyebb megértése megkönnyítheti a betegek pontosabb fenotipizálását, és végső soron támogathatja a precíziós gyógytorna-beavatkozások fejlesztését.
Főbb üzenetek
- A terhelés számít - de a tünetek és a szerkezet nem mindig mozog együtt. Nagy terhelésű ín-gyakorlatok javította a mechanikai tulajdonságokat (merevség, erőtermelés, hipertrófia), ugyanakkor a fájdalom és a VISA-A pontszámok minden csoportban hasonlóan javultak - beleértve a passzív terápiát is. A strukturális adaptáció nem jelent automatikusan jobb tünetmentességet.
- A mechanikai adaptációhoz elegendő ingerre van szükség. Az inak biológiailag aktív és terhelésfüggő szövetek. A rövid, 3 másodperces izometrikus összehúzódások azonban nem biztos, hogy elegendő feszültségrelaxációt és kúszást biztosítanak a feszültségpajzsok hatékony leküzdéséhez és a degeneratív régiók stimulálásához. Ha a cél a szerkezeti átalakítás, a terhelési paraméterek (intenzitás, összehúzódás időtartama, feszültség alatti idő) valószínűleg többet számítanak, mint azt hagyományosan feltételezzük.
- A fájdalomvezérelt terhelés biztonságos és megvalósítható. Mindkét aktív protokoll lehetővé tette a tünetek által ellenőrzött progressziót, és mellékhatások nélkül magas fokú betartást ért el. A fájdalomküszöbök alkalmazása (pl. kontrollált fájdalom <5-6/10) klinikailag elfogadhatónak és praktikusnak tűnik.
- A passzív terápia csökkentheti a fájdalmat - de nem javítja az ínkapacitást. Míg a fájdalom minden csoportban csökkent, csak a nagy terhelésű edzés javította a mechanikai tulajdonságokat. Ha a cél az ín hosszú távú rugalmassága vagy a sérülések prevenciója, a terhelési stratégiák továbbra is alapvető fontosságúak.
- Az Achilles tendinopathia nem egy homogén állapot. A behelyettesítéses és a középső ínhüvelyi íngyulladás valószínűleg mechanikai és biológiai szempontból is különbözik egymástól. A pusztán strukturális vagy képalkotáson alapuló osztályozás nem elegendő. A jövőbeni klinikai mérlegelésnek integrálnia kell a mechanikai, biológiai és pszichoszociális tényezőket a precíziós gyógytorna felé való elmozdulás érdekében.
Referencia
HOGYAN ELŐZHETED MEG A HAMSTRING, VÁDLI ÉS QUADRICEPSZ SÉRÜLÉSEKET
Élsportolókkal vagy amatőrökkel dolgozol? Ne hagyd ki ezeket a kockázati tényezőket, melyek sérülésveszélynek tehetik ki őket. Ezzel a webinárral felismerheted a kockázati tényezőket, hogy dolgozhass rajtuk a rehabilitáció során!