Jatkuvan asentohuimauksen kuntoutus: Systemaattisen katsauksen ja meta-analyysien tuloksia.
Johdanto
Pysyvä asento- ja havaintohuimaus (Persistent Postural-Perceptual Dizziness, PPPD) on krooninen toiminnallinen vestibulaarinen häiriö, jolle on ominaista vähintään kolme kuukautta kestävä jatkuva ei-rotaatiohuimaus, epävakaus ja huimaus. Oireet pahenevat tyypillisesti pystyasennossa, liikkeessä tai monimutkaisille visuaalisille ympäristöille altistuessa, ja ne seuraavat usein tapahtumaa, joka alun perin aiheutti akuutin huimauksen tai epätasapainon. PPPD johtuu pikemminkin huonosta asennonhallinnasta ja keskeisestä vestibulaarisesta prosessoinnista kuin rakenteellisesta vestibulaarisesta vauriosta.
Vaikka selektiiviset serotoniinin takaisinoton estäjät (SSRI-lääkkeet) ja psykoterapia voivat tarjota lyhytaikaista hyötyä, sivuvaikutukset ja rajallinen näyttö rajoittavat niiden tehokkuutta. Vestibulaarisessa kuntoutusterapiassa (VRT) käytetään asteittaisia silmä- ja päänliikkeitä sekä liikuntaa vestibulaarisen kompensaation, sopeutumisen ja tottumisen edistämiseksi. Se voi parantaa huimausta, tasapainoa ja päivittäisiä toimintoja, ja sitä pidetään turvallisena ja ei-invasiivisena vaihtoehtona. Vaikka jotkut tutkimukset tukevat VRT:tä PPPD:n hoidossa, nykyistä näyttöä rajoittavat pienet otokset ja metodologiset epäjohdonmukaisuudet. Aiemmat katsaukset ovat olleet pitkälti kuvailevia. Tässä meta-analyysissä syntetisoidaan kvantitatiivisesti saatavilla olevat tutkimukset, joissa käytetään Dizziness Handicap Inventory (DHI) -mittaria ensisijaisena lopputuloksena, jotta saadaan vahvempaa näyttöä seuraavasta tehosta Pysyvän asentohuimauksen kuntoutuksesta..
Menetelmät
Tutkimus toteutettiin PRISMA-ohjeiden mukaisesti.
Sisäänottokriteerit
Haku sisälsi julkisesti saatavilla olevia, englanninkielisiä tutkimuksia, jotka täyttivät seuraavat kriteerit:
Osallistujat: Minkä ikäiset, minkä tahansa sukupuolen tai maan henkilöt, joilla on diagnosoitu PPPD kliinisen kuvan ja Bárány-seuran diagnostisten kriteerien mukaisesti.
Interventio: Potilaat saivat vestibulaarista kuntoutushoitoa (VRT) PPPD:n vahvistamisen jälkeen. Lähtötilanteen ja hoidon jälkeiset tulosmittarit - erityisesti Dizziness Handicap Inventory (DHI) -arvot. pisteet - oli ilmoitettava.
Tulokset: Tutkimuksissa arvioitiin PPPD:hen liittyviä oireita vestibulaarisen toiminnan, elämänlaadun, fyysisen suorituskyvyn, toiminnallisen tasapainon tai emotionaalisen hyvinvoinnin mittareilla, ja DHI oli ensisijainen tulosmittari. DHI:n minimaalinen kliinisesti tärkeä ero on 18 pistettä.
Poissulkemisperusteet
Kaksi arvioijaa poimi tiedot toisistaan riippumatta, ja erimielisyydet ratkaistiin neuvottelemalla kolmannen kirjoittajan kanssa. Tutkimukset jätettiin pois, jos ne:
Olivat päällekkäisiä tai merkityksettömiä tutkimuskysymyksen kannalta;
Koostui katsauksista, kirjeistä, tapausraporteista tai selostuksista;
Ei esittänyt alkuperäistä tutkimustietoa;
Mukana ei-inhimillisiä koehenkilöitä.
Tietojen poiminta
Kaksi riippumatonta arvioijaa keräsi standardoidun tiedonkeruulomakkeen avulla kaikista soveltuvista tutkimuksista keskeiset tiedot, mukaan lukien tekijän nimi, julkaisuvuosi, osallistujien ominaisuudet, interventio- ja kontrolliolosuhteet, intervention kesto ja raportoidut lopputulokset. Vaikutusestimaatit ja niiden 95 prosentin luottamusvälit kirjattiin niiden analyysien perusteella, jotka oli mukautettu suurimmalla määrällä sekoittavia tekijöitä.
Laadun arviointi
Kaksi arvioijaa arvioi riippumattomasti mukana olleiden tutkimusten metodologista laatua ja harhan riskiä käyttämällä Newcastle-Ottawa-asteikkoa (NOS), joka valittiin sen soveltuvuuden vuoksi ei-satunnaistettujen tutkimusten arviointiin, erityisesti valinnan ja tulosten varmistamisen osalta. Kaikki erimielisyydet käytiin yksityiskohtaisesti läpi, ja ratkaisemattomat kysymykset ratkaistiin kuulemalla kolmatta arvioijaa yhteisymmärryksen saavuttamiseksi.
Tilastollinen analyysi
Jatkuvat tulokset esitettiin yhteenvetona keskiarvona ± keskihajonta. Kun tutkimuksissa ilmoitettiin mediaanit ja kvartiilit keskiarvojen ja keskihajontojen sijasta, nämä arvot arvioitiin Wan ym. menetelmällä. Tilastollinen merkitsevyys määriteltiin p < 0,05:ksi 95 prosentin luottamusväleillä.
Vaikutusmittarina käytettiin painotettua keskiarvoeroa (WMD). WMD edustaa keskimääräistä eroa lopputuloksessa (esim. DHI-pisteet) ennen ja jälkeen interventiota tai interventio- ja kontrolliryhmien välillä, kun taas tutkimuksille, joissa otoskoko on suurempi tai varianssi pienempi, annetaan suurempi painoarvo.
Tutkimusten heterogeenisuutta - sitä, missä määrin tutkimustulokset eroavat toisistaan enemmän kuin mitä sattuman perusteella olisi odotettavissa - arvioitiin Cochranen Q-statistiikan ja I²-indeksin avulla. Heterogeenisuus voi johtua tutkimuspopulaatioiden, interventioprotokollien, mittausvälineiden tai metodologisen laadun eroista. Kun havaittiin merkittävää heterogeenisuutta (p < 0,05 Q:lle tai I² > 50 %), käytettiin satunnaisvaikutusmallia, jossa oletettiin, että todellinen vaikutus vaihtelee eri tutkimuksissa. Kun heterogeenisuus oli vähäistä (I² < 50 %), käytettiin kiinteän vaikutuksen mallia, jossa oletettiin, että taustalla on yksi ainoa todellinen vaikutus. Julkaisuvirhe arvioitiin visuaalisesti käyttäen suppilokuvioita.
Tulokset
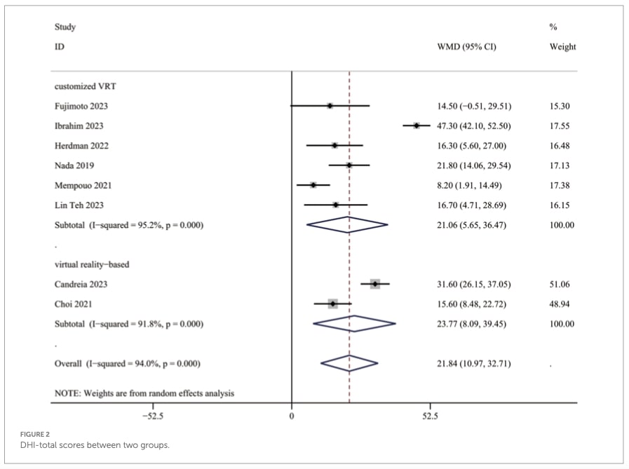
Kuva 1 havainnollistaa tutkimusten valintaprosessia, josta käy ilmi, miten hyväksyttävät tutkimukset tunnistettiin ja seulottiin ennen niiden sisällyttämistä kvantitatiiviseen analyysiin ja sitä seuranneeseen meta-analyysiin. Taulukossa 1 on lisätietoja kustakin mukaan otetusta tutkimuksesta.
From: Li et al., Front Neurol (2025).From: Li et al., Front Neurol (2025).
Ensisijaiset tulokset
Kaikkien kahdeksan tutkimuksen (522 osallistujaa) yhteenlasketut DHI-kokonaistiedot osoittivat, että kuntoutuksesta oli merkittävää hyötyä. Pysyvän asentohäiriön havaitsemisen ja huimauksen kuntoutuksesta. verrattuna kontrollitoimenpiteisiin WMD = 21,84 (ks. kuvio 2).
DHI-kokonaispisteiden alaryhmäanalyysi
Tutkimukset ryhmiteltiin Pysyvän asentohäiriön ja havaintohuimauksen kuntoutus. tyypin mukaan: räätälöity VRT ja virtuaalitodellisuuteen perustuva VRT. Molemmat lähestymistavat vähensivät merkittävästi DHI-kokonaispistemääriä PPPD-potilailla. Räätälöity VRT osoitti parannusta WMD = 21,06, kun taas virtuaalitodellisuuteen perustuva Persistent Postural Perceptual Dizziness -kuntoutus. osoitti samanlaista hyötyä WMD = 23,77 (ks. kuva 2).
From: Li et al., Front Neurol (2025).
Toissijaiset tulokset: DHI:n fyysisten, emotionaalisten ja toiminnallisten ala-asteikkojen meta-analyysi.
Viiden tutkimuksen (412 osallistujaa) yhdistetyt tiedot osoittivat, että Pysyvän asentohäiriön havaitsemiseen liittyvä huimauskuntoutus oli merkittävästi parempi kuin kontrolliinterventiot kaikilla DHI:n osa-asteikoilla. Parannuksia havaittiin fyysisellä alueella, tunne-elämän alueella ja toiminnallisella alueella (kuvat 3A-C).
DHI:n toiminnallisten, fyysisten ja emotionaalisten pisteiden alaryhmäanalyysi
Alaryhmäanalyysissä räätälöity VRT tuotti merkittäviä parannuksia DHI-funktionaalisissa ja DHI-fyysisissä pisteissä, mutta ei DHI-emotionaalisissa pisteissä.
Virtuaalitodellisuuteen perustuva VRT johti merkittäviin parannuksiin vain DHI-toiminnallisissa pisteissä, eikä merkittäviä muutoksia havaittu emotionaalisilla tai fyysisillä osa-alueilla.
From: Li et al., Front Neurol (2025).
Kysymyksiä ja ajatuksia
Tutkimuksessa sovellettiin hyvin rajallisia poissulkukriteerejä, eikä useita mahdollisesti tärkeitä tekijöitä - kuten intervention kestoa, interventiomuotoa (esim. virtuaalitodellisuuteen perustuvat ohjelmat) tai liitännäisdiagnooseja - otettu huomioon. Koska sisäänottokriteerit olivat niin laajat, esiintyi huomattavaa kliinistä heterogeenisuutta, mikä todennäköisesti vaikutti raportoituihin korkeisiin I²-arvoihin (ks. kuviot 2 ja 3) ja heikensi siten meta-analyysin yleistä vahvuutta ja tulkittavuutta. Lisäksi kirjoittajat eivät antaneet juuri lainkaan tietoa kontrolliinterventioiden luonteesta (esim. näennäishoito, odottelu ja seuranta, tavanomainen hoito), mikä vaikeuttaa hoitovaikutuksen todellisen suuruuden arviointia.
Mielenkiintoinen havainto on, että virtuaalitodellisuuteen perustuva VRT ei parantanut merkittävästi DHI-emotionaalisen tai DHI-fyysisen osa-asteikon pistemääriä. (Tosin, kuten kohdassa Puhu minulle nörtti osio, tapa, jolla tulokset esitetään kuvioissa, aiheuttaa sekaannusta ja mahdollisia merkintävirheitä). Tämä havainto on jokseenkin odottamaton: jos DHI-kokonaispistemäärä paranee, olisi yleensä odotettavissa, että sekä fyysisten että emotionaalisten ala-asteikkojen pistemäärät vähenevät suhteessa. Vastaavasti räätälöity VRT ei osoittanut parannusta emotionaalisissa tuloksissa, mikä vaikuttaa jälleen vastoin intuitiota, koska fyysisten oireiden paraneminen teoriassa lievittäisi emotionaalista ahdistusta. Tiivis vuorovaikutus fyysisen ja emotionaalisen oireilun läheinen yhteys PPPD:ssä on hyvin tunnustettu, ja voisi odottaa, että parannukset toisella alueella vaikuttaisivat myönteisesti toiseen.
Näitä tuloksia voidaan tulkita seuraavasti: PPPD:n tunneoireet voivat olla itsenäinen tekijä eikä fyysisen toimintahäiriön toissijainen seuraus. Lisätutkimusta tarvitaan, jotta voidaan tutkia rakenteellisia ja psykologisia mekanismeja, jotka yhdistävät fyysiset ja emotionaaliset osatekijät PPPD:ssä, ja selvittää, vaativatko emotionaaliset oireet kohdennettuja toimenpiteitä tavanomaisen VRT:n lisäksi.
On myös syytä huomata, että meta-analyysiin sisältyneet virtuaalitodellisuusinterventiot olivat hyvin matalaintensiteettisiä: useimmat niistä annettiin vain kaksi kertaa viikossa ja erittäin lyhytaikaisesti (yhdessä tutkimuksessa hoitoa annettiin vain kaksi viikkoa). Lisäksi hyvin harvat tähän katsaukseen sisältyvät tutkimukset tutkivat VRT:hen perustuvaa VRT:tä, mikä vaikeuttaa varmojen johtopäätösten tekemistä sen tehokkuudesta seuraavissa tapauksissa Jatkuvan posturaalisen havaintohuimauksen kuntoutus.. Tarvitaan tarkempia, asianmukaisesti annosteltuja ja pidempiaikaisia VR-interventioita, ennen kuin niiden todellinen terapeuttinen arvo voidaan määrittää.
Puhu minulle nörttimäisesti
Vaikka kirjoittajat toteavat tekstissä nimenomaisesti, että DHI-emotionaalinen (DHI-E) ala-asteikko ei osoittanut merkittävää vähenemistä VRT-alaryhmäanalyysissä, vastaavat luvut on merkitty epäjohdonmukaisesti. Artikkelissa raportoidaan seuraavat tulokset:
"Alaryhmäanalyysissä räätälöity VRT osoitti merkittäviä vähennyksiä sekä DHI-F- (WMD = 15.42, 95%CI: [4.84, 25.99]) että DHI-P- (WMD = 21.76, 95%CI: [7.97, 35.55]) pistemäärissä, mutta ei DHI-E: ssä (WMD = 13.17, 95%CI: [-0.63, 26.97]). Virtuaalitodellisuuteen perustuva VRT osoitti parannusta DHI-F-pisteissä (WMD = 13.84, 95%CI: [10.24, 17.44]), mutta ei DHI-E:ssä (WMD = 0.91, 95%CI: [-1.56, 3.38]). tai DHI-P (WMD = 3,29, 95%CI: [-1,65, 8,23]).".
Kuviossa 3C, jonka on tarkoitus havainnollistaa DHI-emotionaalisia tuloksia, virtuaalitodellisuuden alaryhmän osalta ilmoitettu arvo on kuitenkin seuraava WMD = 13,84 (95 % CI: 10.24-17.44)-tulos, joka vastaa todellisuudessa DHI-funktionaalista (DHI-F) osa-asteikkoa. Tämä epäsuhta viittaa vahvasti siihen, että kirjoittajat ovat merkinneet tai sekoittaneet tietojaan väärin lukuja valmistellessaan, mikä heikentää huomattavasti tulosten selkeyttä ja uskottavuutta.
Kuvassa 1 esitetään DHI:n kokonaistulokset. Kunkin tutkimuksen osalta painotettu keskimääräinen ero (WMD) kuvastaa DHI-pisteiden muutosta interventio- ja kontrolliryhmien välillä. Nämä WMD:t on painotettu otoskoon ja varianssin mukaan. Vaikutuskokojen jakauma eri tutkimuksissa on suhteellisen johdonmukainen; Ibrahimin ym. tutkimuksessa vaikutuskoko on kuitenkin selvästi suurempi kuin muissa tutkimuksissa. Koska kirjoittajat esittävät hyvin vähän menetelmiä koskevia yksityiskohtia tästä erityisestä tutkimuksesta, on vaikea määrittää, kuvastaako tämä ero aidosti voimakkaampaa interventiovaikutusta vai sekoittavien tekijöiden, kuten harjoitusprotokollien tai kontrolliryhmän ominaisuuksien erojen, vaikutusta.
Funnelplotit (kuvio 4) viittaavat julkaisuvirheiden mahdollisuuteen. Vestibulaarisen kuntoutuksen voimakkaista positiivisista vaikutuksista raportoivat tutkimukset näyttävät olevan enemmän edustettuina, kun taas pienemmät tutkimukset, joissa tulokset ovat vaatimattomia tai negatiivisia, saattavat puuttua saatavilla olevasta kirjallisuudesta. Tämä epäsymmetria näkyy myös pienten tutkimusten vaikutuksissa: useat tutkimukset, joissa on suuremmat keskivirheet (eli pienemmät otoskoot), raportoivat suhteettoman suuria hoitovaikutuksia. Tällainen kuvio voi viitata siihen, että pienemmät tutkimukset yleensä yliarvioivat VRT:n tehon, tai vaihtoehtoisesti siihen, että pieniä tutkimuksia, joissa havaintoja ei ole tai ne ovat negatiivisia, ei ole julkaistu.
Myös suppilokuvioiden pisteiden yleinen hajonta kuvastaa huomattavaa tutkimusten välistä heterogeenisuutta. Tämä vaihtelu vastaa aiemmin todettuja metodologisia eroja tutkimusten välillä. Yhdessä nämä suuntaukset - julkaisuvirheet, pienten tutkimusten vaikutukset ja heterogeenisuus - korostavat nykyisen näyttöperustan rajoituksia ja edellyttävät varovaista tulkintaa yhdistetyistä vaikutusestimaateista.
From: Li et al., Front Neurol (2025).
Kotiin vietävät viestit
Vestibulaarinen kuntoutusterapia (VRT) vähentää tehokkaasti huimaukseen liittyvää kokonaisvaltaista toimintakyvyttömyyttä PPPD:ssä, ja DHI-kokonaispistemäärät paranevat johdonmukaisesti eri tutkimuksissa.
Parannukset johtuvat ensisijaisesti fyysinen (DHI-P) ja toiminnalliset (DHI-F) osa-alueet, kun taas emotionaaliset oireet (DHI-E) osoittavat vähemmän johdonmukaista muutosta.
Räätälöity VRT johtaa merkittäviin parannuksiin DHI-P:ssä ja DHI-F:ssä, mutta ei DHI-E:ssä.
Virtuaalitodellisuuteen perustuva VRT parantaa vain DHI-F:tä ja osoittaa ei merkittävää vaikutusta DHI-E:hen tai DHI-P:hen.
Tämä kuvio viittaa siihen, että emotionaalinen ahdistus PPPD:ssä voi olla osittain riippumaton fyysisistä oireista., mikä vastaa tunnettuja yhteyksiä PPPD:n, ahdistuneisuuden ja tunteiden säätelyhäiriöiden välillä.
Virtuaalitodellisuus (VR) osoittaa potentiaalia, mutta mutta sitä ei voida vielä suositella itsenäisenä hoitona. Jatkuvan asentohäiriön ja huimauksen kuntoutus. olemassa olevia tutkimuksia on vähän, niiden intensiteetti on alhainen (esim. 2 istuntoa viikossa 2 viikon ajan) ja ne ovat liian lyhyitä varmojen johtopäätösten tekemiseksi.
Suuri heterogeenisuus, mahdollinen julkaisuvirhe, ja useat metodologiset rajoitukset vähentävät näytön yleistä vahvuutta ja varmuutta.
HUOMIO TERAPEUTIT, JOTKA HALUAVAT HOITAA POTILAITA, JOILLA ON HUIMAUS.
Opi käsittelemään yleisintä huimauksen syytä tässä ILMAISESSA minivideosarjassa.
Johtava vestibulaarisen kuntoutuksen asiantuntija Firat Kesgin vie sinut 3-päiväiselle videokurssille siitä, miten tunnistetaan, arvioidaan ja hoidetaan takakanavan hyvänlaatuista paroksismaalista asentohuimausta (BPPV).
Félix Bouchet
Tutkimuksen sisällön tarkastaja
Tavoitteeni on kuroa umpeen kuilu tutkimuksen ja kliinisen käytännön välillä. Tiedon kääntämisen avulla pyrin antamaan fysioterapeuteille mahdollisuuksia jakamalla uusinta tieteellistä tietoa, edistämällä kriittistä analyysia ja purkamalla tutkimusten metodologisia malleja. Edistämällä tutkimuksen syvällisempää ymmärtämistä pyrin parantamaan tarjoamamme hoidon laatua ja vahvistamaan ammattikuntamme oikeutusta terveydenhuoltojärjestelmässä.
Tämä sisältö on tarkoitettu jäsenille
Aloita ilmainen kokeilujakso saadaksesi käyttöösi tämän ainutlaatuisen sisällön ja paljon muuta!
Parhaan käyttökokemuksen tarjoamiseksi me ja kumppanimme käytämme tekniikoita, kuten evästeitä, laitetietojen tallentamiseen ja/tai käyttämiseen. Näiden tekniikoiden hyväksyminen antaa meille ja kumppaneillemme oikeuden käsitellä henkilötietoja, kuten selauskäyttäytymistä tai yksilöllisiä tunnisteita tällä sivustolla, ja näyttää (ei-)personoituja mainoksia. Suostumuksen antamatta jättäminen tai peruuttaminen voi vaikuttaa haitallisesti tiettyihin ominaisuuksiin ja toimintoihin.
Hyväksy yllä oleva tai tee yksityiskohtaisia valintoja napsauttamalla alla olevaa linkkiä. Valintasi koskevat vain tätä sivustoa. Voit muuttaa asetuksiasi milloin tahansa, mukaan lukien suostumuksesi peruuttaminen, käyttämällä evästekäytäntöjen vaihtopainikkeita tai napsauttamalla näytön alareunassa olevaa suostumuksen hallintapainiketta.
ToiminnallinenAina aktiivinen
Tekninen tallennus tai käyttö on ehdottoman välttämätöntä tilaajan tai käyttäjän nimenomaisesti pyytämän tietyn palvelun käytön mahdollistamiseksi oikeutetussa tarkoituksessa tai ainoastaan viestinnän välittämiseksi sähköisen viestintäverkon kautta.
Asetukset
Tekninen tallennus tai käyttö on tarpeen laillisen tarkoituksen vuoksi tallentaa asetuksia, joita tilaaja tai käyttäjä ei pyydä.
Tilastot
Tekninen tallennustila tai käyttöoikeus, jota käytetään yksinomaan tilastollisiin tarkoituksiin.Tekninen tallennustila tai käyttöoikeus, jota käytetään yksinomaan anonyymeihin tilastollisiin tarkoituksiin. Ilman haastetta, internet-palveluntarjoajasi vapaaehtoista noudattamista tai kolmannen osapuolen lisätietoja tätä tarkoitusta varten tallennettuja tai haettuja tietoja ei yleensä voida käyttää sinun tunnistamiseen.
Markkinointi
Teknistä tallennustilaa tai käyttöoikeutta tarvitaan käyttäjäprofiilien luomiseen mainosten lähettämistä varten tai käyttäjän seuraamiseksi verkkosivustolla tai useilla verkkosivustoilla vastaavia markkinointitarkoituksia varten.